Miles de asegurados gallegos abandonan Muface por el SERGAS

La restricción de prestaciones en el nuevo convenio, que sindicatos denuncian y Muface y patronal niegan, y las dudas sobre la continuidad del modelo explica porqué continúa la sangría de mutualistas. Entre los nuevos funcionarios, más de la mitad elige directamente la pública, aunque la privada concertada sigue siendo mayoritaria en su conjunto.


 


|

20250729 concentracion peche muface
Protesta en julio de este año contra el cierre de la oficina de Muface en Santiago

 


El mercado de los seguros de salud en España y en Galicia vivió una tormenta hace unos meses que ha cambiado el panorama de forma notable. Los números facilitados por la Consellería de Sanidade a Galiciapress muestran que las dudas sobre la continuidad del modelo de Muface ha empujado a miles de familia gallegas a abandonar la mutualidad de funcionarios para pasarse a la sanidad pública del SERGAS. Esas dudas continúan.

 

El número total de altas en el SERGAS es difícil de determinar con exactitud, pues la Xunta no proporciona el motivo por el que los ciudadanos se dan de alta -pueden proceder de Muface o de aseguradoras privadas, etc. s- o de baja -puede irse a otras alternativas o ser bajas en la Seguridad Social por diversos motivos como trasladarse a vivir fuera del país, etc.


Ahora bien, este mes de febrero se produjo un incremento inusual de casi 44.000 asegurados por el SERGAS. Esto supone casi 5.000 personas más que en febrero del año pasado. Normalmente, en febrero el SERGAS estaba experimentando alzas de unos 2.000 asegurados.

 

En enero es cuando Muface abre uno de sus dos períodos anuales ordinarios para tramitar cambios de aseguradora. Después de enero de este año, el SERGAS experimentó un nivel de altas inusual, más del doble de lo esperado. 


La sangría de Muface no es exclusiva de Galicia. A nivel estatal más de 64.000 funcionarios y beneficiarios abandonaron la sanidad concertada en el primer semestre de 2025, un movimiento que duplicó las tasas de cambio de años anteriores. 


 

Aumento de asegurados en el SERGAS
Aumento de asegurados en el SERGAS

En enero de este año arreciaba la tempestad entre el Gobierno y las aseguradoras. El Estado tuvo que declarar varias prórrogas ante la negativa de las aseguradoras privadas a presentarse al concurso de Muface por el importe que estaba dispuesta a pagar la Administración. Es evidente que eso provocó la inquietud de miles de funcionarios en Galicia, que, ante los nubarrones, decidieron marcharse a la sanidad pública.

 

Finalmente, hubo pacto. Adeslas y Asisa aceptaron licitar a cambio de un alza en la oferta del Estado. Ahora bien, la oferta sanitaria para los funcionarios se redujo. Una de las tres aseguradoras que los atendía, DKV desistió definitivamente de participar en Muface.  Esto obligó a sus casi 200.000 afiliados de DKV a elegir una nueva entidad. De estos, MUFACE transfirió de oficio al INSS a 24.296 mutualistas. Es decir, más del 10% de los que tenía DKV pasó de mudarse a Adeslas o Asisa, se pasó a la sanidad pública. 

 

Distribución de asegurados en Muface
Distribución de asegurados en Muface en Galicia antes del concierto de este año


El número de altas en el SERGAS sigue creciendo. En julio de 2025, tras el período de cambio de junio, el SERGAS contó un incremento interanual de casi 44.000 aseguradores, que son unos mil más que el año pasado. Hay que tener en cuenta que debido a la prolongación de las negociaciones entre Estado y aseguradoras, que no se resolvieron hasta primavera, hubo un período extraordinario de cambio en mayo.


En definitiva, la sangría de mutualistas que dejan Muface parece continuar, aunque a un ritmo mucho menor que al inicio del año.

 

A pesar de este éxodo, es importante señalar que la opción privada sigue siendo mayoritaria en el cómputo global del colectivo de MUFACE. A julio de 2025, tras los meses de mayor agitación, la sanidad concertada aún aglutinaba aproximadamente al 64% de los afiliados a nivel estatal, frente al 36% que había optado por el sistema público.


 

Sindicatos alertan que la calidad de Muface se ha deteriorado


Centrales como UGT y CCOO han deunciado eliminación de terapias no urgentes (como fisioterapia avanzada o psicología) y aumento de copagos en medicamentos y especialidades. También señalan largas esperas para cirugías programadas, contrarias a los plazos establecidos en el concierto.

 

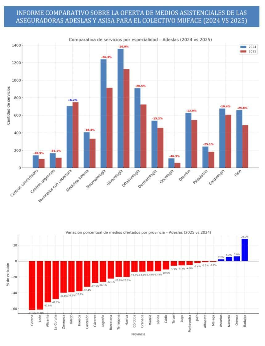
Las organizaciones sindicales coinciden en que los nuevos listados de médicos están “irreconocibles” comparados con los anteriores. Un informe de la plataforma Muface-Sí calcula disminuciones del 50% o más en algunas provincias. Según este documento, se pierden pediatras, cardiólogos y otros especialistas en áreas dispersas, incrementando listas de espera. 

 

Según este informe en A Coruña, Adesalas oferta un 47% menos de servicios y en Pontevedra y Lugo un 5%. Por el contrario, en Ourense hubo un aumento de casi el 6%. Es una de las pocas provincias, cuatro, con saldo positivo, hay más servicios este 2025 que en 2024.

497661689 9795087233879474 1994754780291523965 n

En lo referido a Asisa, el informe de la plataforma de afectados apunta a una caída del 12% en Lugo mientras en A Coruña no hay cambios.

 

497829673 9795087057212825 260862839326615426 n

CSIF y Jupol alertaron de que en algunas zonas los recortes alcanzan el 60% del anterior cuadro médico, obligando a desplazamientos largos para consultas de especialidades críticas como oncología o neurocirugía. De hecho, CSIF registró una queja ante el Defensor del Pueblo por centenares de irregularidades denunciadas  y anuncia nueva fase de movilizaciones en septiembre ante la “situación crítica” de MUFACE


Además, usuarios denuncian la exclusión de tecnologías médicas innovadoras (como ciertos tratamientos oncológicos) y la limitación en la elección de profesionales dentro de las redes concertadas. Por ejemplo, aseguradores de Muface-Adeslas se quejaron de que soportan esperas de 4-6 meses para prótesis de rodilla, frente a los 30 días establecidos en el acuerdo. La aseguradora alegó sobredemanda postpandemia.


La patronal de las aseguradoras niega recortes. La tesis central de ASPE es que el éxodo masivo de mutualistas no fue una respuesta a un mal servicio, sino una reacción lógica a la "incertidumbre generada durante el proceso de renovación del concierto". Sostienen que el incremento de trasvases fue "puntual" y directamente atribuible a las dudas sobre la continuidad del modelo. Para respaldar este argumento, afirman que una vez que se resolvieron las dudas y se firmó el nuevo acuerdo, "apenas 4.000 afiliados" a nivel de ESpaañ decidieron abandonar la sanidad privada, minimizando así el problema de fondo. Su discurso se centra en la necesidad de "reforzar la cooperación público-privada" y critica la inestabilidad que supone tener que renegociar la existencia misma del modelo cada pocos años, lo que, según ellos, "mina la confianza de los usuarios". Piden, por tanto, un marco estable y una financiación adecuada que garantice la viabilidad económica y la calidad asistencial.  


MUFACE, por su parte, ha reconocido "ciertos incumplimientos" pero destaca que el modelo estaba al borde de la insostenibilidad. Además, permite cambios extraordinarios al sistema público (INSS) por motivos médicos, aunque con compromiso de permanencia de dos años.


La mayoría de los nuevos funcionarios ya no confían en Muface

 

Salvada la cuenta atrás de primavera,  es evidente el modelo de mutualismo administrativo sigue en cuestión. La crisis de 2025, aunque excepcional en su magnitud, no surgió en el vacío. Fue la aceleración drástica de una tendencia de fondo, observable durante más de una década, que muestra un paulatino pero constante declive en la preferencia por la sanidad concertada.

 

Propuestas de instituciones clave como la AIReF y el Ministerio de Sanidad plantean por primera vez de forma oficial una reforma estructural profunda, que incluye desde la voluntariedad del modelo hasta su disolución progresiva y la integración total de los funcionarios en el SNS. De hecho, en Galicia, el sindicato con más representación entre los trabajadores públicos, la CIG, hace tiempo que recomienda anotarse directamente en el SERGAS, aunque no solo por motivos prácticos ante el recorte de prestaciones, también por defender una sanidad pública de calidad para todos.

 

Quizás el dato más revelador sobre el futuro del mutualismo administrativo no reside en quienes cambian de opción, sino en la elección inicial de quienes se incorporan al sistema. El análisis de los nuevos funcionarios muestra una brecha generacional que funciona como un claro indicador adelantado del destino del modelo.

Un informe de gran calado elaborado por la Autoridad Independiente de Responsabilidad Fiscal (AIReF) ha puesto cifras a este fenómeno. La preferencia de los nuevos mutualistas de MUFACE por la opción pública ha experimentado un crecimiento exponencial: si en 2016 un 50% de los nuevos ingresos elegía el SNS, en 2023 esa cifra se disparó hasta el 72%.  

Última hora

Sin comentarios

Escribe tu comentario




He leído y acepto la política de privacidad

No está permitido verter comentarios contrarios a la ley o injuriantes. Nos reservamos el derecho a eliminar los comentarios que consideremos fuera de tema.
Última hora
Cabeceralomasleido 1
Cabecerarecomendados 1

Galiciapress
Plaza de Quintana, 3 15704 Santiago de Compostela
Tlf (34)678803735

redaccion@galiciapress.es o direccion@galiciapress.es
RESERVADOS TODOS LOS DERECHOS. EDITADO POR POMBA PRESS,S.L.
Aviso legal - Política de Cookies - Política de Privacidad - Configuración de cookies - Consejo editorial - Publicidad
Powered by Bigpress
CLABE